耐火磚及耐火制品的吸水率是我們在生產或者銷售中常遇到的一個名詞,那么吸水率到底是什么,不同的耐火材料吸 水率又是如何計算和測定的呢?
吸水率是耐火制品全部開口氣孔所吸收的水的質量與干燥試樣的質量百分比。耐火原料生產中習慣上用吸水率來鑒定熟料的煅燒質量,原料煅燒得越好,吸水率數值越低。一般應小于5%。
對致密定形耐火制品只水率的測定方法,中國標準(GB/T 2997-1983)的規定,稱量干試樣質量,并將盛有試樣的容器真空,再加水充分飽和試樣。稱量飽和試樣在空氣中的質量。
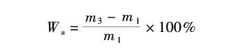
致密定形耐火制品的吸水率按下式計算。

式中 Wa——耐火制品的吸水率,%
m1——干燥試樣的質量,g
m3——飽和試樣在空氣中的質量,g。
對粒狀耐火材料吸水率的測定方法,按照標準(GB/T 2999-1982)規定,采用2~5mm的粒狀試樣,用抽真空或煮沸的方法使試樣被水充分飽和,稱量干燥試樣和飽和試樣的質量。
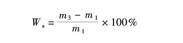
粒狀耐火材料的吸水率按下式計算:

式中 Wa——耐火材料的吸水率,%
m1——干燥試樣的質量,g
m3——飽和試樣在空氣中的質量,g。